#IDWeek2025 Posts/Tweets Analysis
By Ken Koon Wong in idweek2025 idweek25 tweets posts twitter x learning gganimate idsa idweek
October 26, 2025
IDWeek2025 had the lowest post count since 2022 (1,272 posts). While top posters shifted to Bluesky, X remained on par—the key difference was engagement rates favoring Bluesky. Grateful to learn so much from our SoMe community! 📊💙🙏

Wordcloud of all the IDweek2025, idweek25 and idweek tweets/posts.
If you want to look at the specific tweets, I have created a shiny app that helps me to glance through essential topics. Here is the link
Thought Process:
- Post counts by days
- Top 50 Users Post Counts
- Posts frequency separated by dates
- Top 10 Liked Posts Seperated by Dates
- Top 20 Bookmarked Posts
- Bluesky vs X
- Acknowledgement
- Lessons learnt
This year is a fun challenge because there are 2 platforms that ID community have been posting. Our old friend X/Twitter and now Bluesky. As we’ve monitored throughout the year, it does seem like there has been a divided community. Hence, #IDWeek is a great experiment to assess our ID community’s network and engagement. And we’ll be monitor both platform and see how many cool things people have been up to! As usual, we will list the top 50 users contributed to #IDweek posts, top liked posts, top bookmarked posts. Our goal here is to learn ID related information and also focus on the positives! ❤️
Disclaimers: All these were obtained from Bluesky and X API. Pictures shown here are directly linked to the source. Except for the ones from Grok but I’ve linked to source
Post counts (Bluesky and X combined) by days
We had the least post and tweet counts combined this year when compared to 2024, 2023 and 2022!
Very interesting. When compared to IDweek
2022 and
2023, and
2024 and the post peaks appear to be similar to 2024. This year it also appeared to have the least posts when compared to 2022, 2023, and 2024. We had a total of 1272 (it might actually be 1234
see this) posts this year, whereas in 2024, we had 1674 posts, in 2023 we had 2627 posts, and in 2022 it was ~2188. It is clear that ID community and SoMe has decreased engagement this year.
Top 50 Users (Both Bluesky and X) Post Counts
Thanks to all who have contributed sairabt.bsky.social, LordAlirezaF, sidpharm.bsky.social, josephmarcusid.medsky.social, uwidfellowship.bsky.social, IDWeekmtg, idweek.bsky.social, iuidfellowship.bsky.social, InfectDiseaseAd, WebsEdge_Med, boghuma.bsky.social, patrickching.bsky.social, jschaenmanmd.bsky.social, pRxcisionAI, CUP_med_health, ccf_idfellows, websedgemedicine.bsky.social, Contagion_Live, contagionlive.bsky.social, HMS_MI leading the top 20 posts combined. Can you find your handle here?
This year is also very interesting to see that the top posters comprise of more bluesky users than X users. But you do see some familiar usernames who traditionally have been top posters on X such as LordAlirezaF. An easy way to know whether it’s Bluesky or X is that Bluesky username usually has a domain such as bsky.social or medsky.social etc.
Posts frequency separated by dates

Top 10 Liked Posts Seperated by Dates
10-18-25
| date | username | text | like_count |
|---|---|---|---|
| 2025-10-18 | mmpharmd.bsky.social | As per tradition, the bracelets were counted this morning in the hotel room with @ebhirsch.bsky.social . Last year we came in at 169. Any guesses how many were made this year?? #IDWeek2025 | 14 |
| 2025-10-18 | dralicehan.bsky.social | #IDsky Just arrived in Atlanta! Excited to see everyone at #IDweek. I’ll discuss any questions or advice for fellows interested in private practice in ID. Hope to see you tomorrow at Fellow’s Day! | 12 |
| 2025-10-18 | TakaMatsuo_ID | Arrived in Atlanta!!
Looking forward to connecting with everyone at #IDWeek2025! @IDWeekmtg @MDAndersonNews @MayoClinicINFD @UT_Infectious @BCMIDFellowship https://t.co/t75aEsrlM2 |
12 |
| 2025-10-18 | darcy-id-doc.bsky.social | Great Program Director’s Meeting at #IDWeek2025 | 11 |
| 2025-10-18 | brianchowmd.bsky.social | Welcome to #IDWeek2025 | 10 |
| 2025-10-18 | pascalisid.bsky.social | Please join us this Monday 8-9 am at IDWeek. Difficult-to-treat mold infections. Dimitrios Farmakiotis will be discussing treatment of mucormycosis. I will be discussing aspergillosis. | 9 |
| 2025-10-18 | ebhirsch.bsky.social | Absolutely phenomenal @sidpharm.bsky.social keynote 🔑 from Dr. Mati Hlatshwayo Davis @matih-id.bsky.social today: Reducing Barriers Toward Health Equity: Advocating for Change in the Healthcare Industry and Beyond.
I laughed, I cried. All the things. Just wow 👏👏👏 #IDWeek2025 #IDSky |
9 |
| 2025-10-18 | mmpharmd.bsky.social | Look what I found! @idsainfo.bsky.social @idweek.bsky.social @idweekoutbreak.bsky.social @sidpharm.bsky.social #IDWeek2025 | 9 |
| 2025-10-18 | josephmarcusid.medsky.social | See you tomorrow!
#IDSky #IDWeek2025 |
7 |
| 2025-10-18 | sidpharm.bsky.social | Who's excited for the Annual Meeting today?! If you're in ATL for IDweek, and unable to attend SIDP's Annual meeting, check out these SIDP members pre-meeting workshops! #sidp #idweek2025 | 6 |
This is the pre-meeting day. Looks like everyone is super pumped for the conference! Not to mention Program Director Day pictures shared by darcy-id-doc.bsky.social
source. Very important leadership meeting for our next generation ID docs!
10-19-25
| date | username | text | like_count |
|---|---|---|---|
| 2025-10-19 | uwidfellowship.bsky.social | Prolonged applause for Dr Demetri Daskalakis, formerly of the CDC, winner of the HIV Medical Association Transformative Leader Award… #IDSky #IDWeek #IDStrong | 118 |
| 2025-10-19 | boghuma.bsky.social | Mandatory meeting selfie ##IDweek2025 | 58 |
| 2025-10-19 | patrickching.bsky.social | IDWeek2025 Social Media Meetup @jonathanrydermd.bsky.social @josephmarcusid.medsky.social #IDWeek2025 #IDSky | 48 |
| 2025-10-19 | boghuma.bsky.social | Who is in Atlanta for #IDweek2025? If you see me at the convention center please say hi ✋. It's always better to see/meet people IRL. #IDSky | 36 |
| 2025-10-19 | jonathanrydermd.bsky.social | Let’s go!!! Hope to meet many of you at tonight’s social media meet-up! #IDWeek2025 @idweek.bsky.social | 34 |
| 2025-10-19 | jschaenmanmd.bsky.social | Huge turn out for #IDWeek2025 @idweek.bsky.social Plenary Session with Javier Muñoz ! 🤩 | 24 |
| 2025-10-19 | davidvanduin.bsky.social | Dr Tamma mentions the ongoing GOAT trial (PI Tamma & Cosgrove) This will be a most needed and important study. clinicaltrials.gov/study/NCT060... #IDweek2025 #IDsky | 19 |
| 2025-10-19 | docdelrio.bsky.social | #IDWeek2025 kicks off today, & @emorydeptofmed.bsky.social is well represented with a total of 96 Emory-affiliated presentation. Don't miss talks by @colleenkelly.bsky.social & @gradydoctor.bsky.social Full list of Emory sessions: bit.ly/EmoryIDWeek2025 | 19 |
| 2025-10-19 | umn-idim.bsky.social | We’re heading to #IDWeek2025!
Along with our colleagues at the Minnesota Department of Health and across the Twin Cities, we will be sharing: 📰 26 posters 🎤 12 symposiums 🗣️ 4 oral abstracts 🏆 1 plenary We’re excited to showcase the incredible work coming out of Minnesota. See you there! #IDSky |
19 |
| 2025-10-19 | davidzd.bsky.social | This is what leadership looks like. #VaccinesSaveLives #IDWeek2025 #IDSky | 17 |
On the top, contributed by uwidfellowship.bsky.social, prolonged applause for Dr Demetri Daskalakis, winner of the HIV Medical Association Transformative Leader Award. 👏
source
![]()
The first day is always a special day and mandatory selfie day! Here we have boghuma.bsky.social selfie post with second highest likes!
source
This day is a special day for SoMe! Thanks to patrickching.bsky.social for sharing the pictures on his post about
IDWeek2025 Social Media Event, amplified by jonathanrydermd.bsky.social’s engagement!
davidvanduin.bsky.social highlighted the importance of
GOAT Trial. Gram Negative BSI Oral Antibiotic Therapy Trial assessing IV vs early oral abx transition w RCT on 11 US sites. Trial ends ~July 2027.
10-20-25
| date | username | text | like_count |
|---|---|---|---|
| 2025-10-20 | boghuma.bsky.social | Easily my favorite session at #IDWEEK #IDSky | 60 |
| 2025-10-20 | DrIanWeissman | CDC researchers are being forced to skip a pivotal conference on infectious disease this week due to the government shutdown, missing out on high-level discussions not long after surges in measles and whooping cough hit the U.S. https://t.co/mij0HnHywI | 22 |
| 2025-10-20 | boghuma.bsky.social | Afternoon delight. Challenging cases HIV and STI cases. First up a serological standoff RPR 1:4--> 1:8, patient with ocular and otic symptoms. Does not meet the 4 -fold increase threshold for new infection. So do you treat for syphilis now or not? #IDweek #IDSky | 21 |
| 2025-10-20 | hectorjoselora | Recap 10/20 of @IDWeekmtg @IDSAInfo #IDWEEK2025
-Proudest day ever! poster (1/2) led by Isabel Cintron and medical students. First time advising/mentoring a project from medical students. #MedEd -With the ID Docs😎🧫🦠 @mobrito05 @PaulinoRobert Dr. Bisonó https://t.co/f9LzQpn5hn |
17 |
| 2025-10-20 | courtharrismd.bsky.social | #IDWeek2025 off to a 🔥start! first in person Women in ID Book Club reading the Rainfall Market!
Thankful for these women who continue to come out to support and enjoy each others company! @idweek.bsky.social @jennmpd.bsky.social @sairabt.bsky.social @docwoc71.bsky.social @dralicehan.bsky.social |
14 |
| 2025-10-20 | drrossanarosa.bsky.social | Happy International Infection Prevention Week! #IDSky #IIPW #IDWeek2025 | 12 |
| 2025-10-20 | rachelalter007.bsky.social | It's pretty freaking awesome that the same people the keynote speakers is thanking for being her mentors may be mine too in a few short months 🤞🏻🤞🏻🤞🏻
#idweek2025 |
12 |
| 2025-10-20 | cidrap.bsky.social | C difficile deaths more common among Whites, people in large urban areas
White Americans accounted for 84% of the 216,311 C difficile-associated deaths reported from 1999 through 2023, researchers reported at IDWeek 2025. |
11 |
| 2025-10-20 | boghuma.bsky.social | DoxyPEP can alter serological titers for RPR with slower rise in titers. Since suspicion of otic and ocular syphilis high. Treatment is started. #idweek #idsky | 11 |
| 2025-10-20 | idweek.bsky.social | Vaccination against herpes zoster, or shingles, is linked to lower risks of heart disease, dementia and death in people age 50 and older, according to new research presented at #IDWeek2025. https://bit.ly/471biNp | 10 |
Challenging cases! Where we learn from others’ experiences.
Here boghuma.bsky.social shared first case of progressive pneumonia with bcx and resp cx growing Bacillus cereus, turned out to be Welder’s Antrhax, an emerging entity that has caused 9 cases in Louisiana. Second case was AML w severe flank pain, with mold Lichtheimia corymbifera !?! Wow.
Followed by another interesting post by boghuma.bsky.social with DoxyPEP patient with RPR 1:4–> 1:8, with ocular and otic symptoms. Treat or not treat? Here the presentation showcased how DoxyPEP may slow the rise of RPR titers in the setting of active infection. Very interesting!
Interesting thing on Cdiff is that a review of data from the US Centers for Disease Control and Prevention (CDC), a team led by researchers from AdventHealth Sebring in Florida found that White people accounted for 83.9% of the 216,311 reported US deaths associated with CDI from 1999 through 2023, while Black Americans accounted from 8.1% and Hispanic people 5.5%. source
A new study of over 174,000 adults found that shingles vaccination significantly reduced health risks in people 50 and older, including a 50% lower risk of vascular dementia, 27% lower risk of blood clots, 25% lower risk of heart attack or stroke, and 21% lower risk of death. The findings suggest the shingles vaccine provides protection beyond preventing shingles itself by reducing cardiovascular and neurologic complications that can be triggered by shingles infection. source. Following this information, some people on X had asked Grok to verify the information and here is the response. source1, source2
10-21-25
| date | username | text | like_count |
|---|---|---|---|
| 2025-10-21 | boghuma.bsky.social | The absence of our CDC and NIH colleagues is profoundly felt at this year's #IDweek2025 meeting happening in Atlanta the city where the agency is head-quartered. www.medpagetoday.com/infectiousdi... | 84 |
| 2025-10-21 | cidrap.bsky.social | Drugmakers announce encouraging new antibiotic data at IDWeek
Shionogi presents real-world data on cefiderocol’s effectiveness against tough-to-treat gram-negative infections, while GSK releases promising phase 3 data for tebipenem HBr. |
16 |
| 2025-10-21 | OslerResidency | Much #Oslerpride at IDWeek! What a stellar group 😍💪🏽👏🏽 https://t.co/82ZJozdkro | 13 |
| 2025-10-21 | michaelisonmd.bsky.social | Due to the US Government Shutdown, I will not be able to atted @IDWeek.bsky.social #IDWeek2025. I had worked on my 2 invited talks and so will share them.
My first talk was going to be about the epidemiology and clinical course of respiratory viral infections in the immunocompromised. |
12 |
| 2025-10-21 | takamatsuo-id.bsky.social | Ready for 2 oral presentations today! (same session)
Session Title: Bad to the Bone: News From BJI Session Date: Tuesday October 21, 2025 Session Time: 10:30 AM - 11:45 AM Location: B401-402 #IDWeek2025 #MayoClinicINFD @idweek.bsky.social #OrthoID #SepticArthritis #NVO |
10 |
| 2025-10-21 | jonathanrydermd.bsky.social | @nkusnikmd.bsky.social presenting our blood culture shortage experience during an oral abstract session appropriately titled “A Bloody Mess!” @idweek.bsky.social #IDWeek2025 @unmc-id.bsky.social | 10 |
| 2025-10-21 | jeremytigh.bsky.social | Increasing NDM across the U.S.😭 #IDWeek2025 | 9 |
| 2025-10-21 | healioid.bsky.social | There is more evidence that #shingles vaccination significantly decreases the risk for heart disease, dementia and death among people aged 50 years or older with herpes zoster infection, according to data presented at #IDWeek2025.
💉 #IDSky 🥼 #MedSky |
9 |
| 2025-10-21 | dricks.bsky.social | CDC experts—what's left of them—now forced to skip a pivotal infectious diseases meeting because of the gov't shutdown. Their conference appearances have been postponed unless funded outside of government budgets. IDWeek is the largest meeting of infectious disease experts in the US👇 | 9 |
| 2025-10-21 | jonathanrydermd.bsky.social | @takamatsuo-id.bsky.social presenting back-to-back oral abstracts on bone and joint infections @idweek.bsky.social! #IDWeek2025 | 9 |
Drugmakers announce encouraging new antibiotic data. Cefiderocol (Fetroja) achieved a 70.1% clinical cure rate in over 500 US patients with serious gram-negative bacterial infections, with higher success rates when used empirically (73.7%) rather than as salvage therapy (54.3%). Additionally, GSK announced that their experimental oral antibiotic tebipenem HBr was non-inferior to IV antibiotics for complicated urinary tract infections in a phase 3 trial, potentially becoming the first oral carbapenem available in the US for these infections.
source
NDM on the RISE! 461% increase!!!
And more BoJo oral abstracts by takamatsuo-id.bsky.social [more info]. Can’t wait to watch it online. (
https://bsky.app/profile/takamatsuo-id.bsky.social/post/3m3pd2blzoc2k)
10-22-25
| date | username | text | like_count |
|---|---|---|---|
| 2025-10-22 | boghuma.bsky.social | This year's #IDweek is now over. Our community has taken so many hits since the pandemic and now the assaults on public health, science, vaccines etc. Yet the infectious disease community has some of the most dedicated, resilient and thoughtful people I know. Here's to hope & staying with the fight. | 80 |
| 2025-10-22 | joffirphd.bsky.social | This is good news.
“The New England Journal of Medicine and the Center for Infectious Disease Research and Policy will begin publishing “public health alerts” in the coming month, CIDRAP Director Michael Osterholm announced at the IDWeek conference on Sunday.” |
41 |
| 2025-10-22 | sairabt.bsky.social | #idweek2025 new in #UTI IDSA (GRADE methodology: clinical cure critical based on pt feedback) vs wikiguidelines (clear recommendation vs clinical review) 1/ | 24 |
| 2025-10-22 | docwoc71.bsky.social | Getting ready for #IDBugBowl @idweek.bsky.social Hope to see y’alll this afternoon. Come and cheer ur team UAB CCF ThomasJefferson and our international team Calcutta Troo Med #IDWeek2025 #IDSky | 12 |
| 2025-10-22 | kemarbarrettmd | First #IDWeek2025 was great! Happy to share our work with the broader 🆔 community! Always a great time with the @MayoClinicINFD family. See you next year in DC! 🥳 https://t.co/Q0zGVu6NIF | 12 |
| 2025-10-22 | democratswin.bsky.social | The New England Journal of Medicine and the Center for Infectious Disease Research and Policy will begin publishing “public health alerts” in the coming month, CIDRAP Director Michael Osterholm announced at the IDWeek conference on Sunday. | 10 |
| 2025-10-22 | Medscape | It’s possible to produce a generic version of lenacapavir, a twice-yearly antiretroviral injection that both prevents and treats HIV, for as little as $25 per patient per year, according to a study presented at the Infectious Disease Week (IDWeek) 2025 Annual Meeting in Atlanta. https://t.co/lUTq58OijU | 10 |
| 2025-10-22 | WebsEdge_Med | "They're waging psychological warfare on our young scientists". At IDWeek 2025, we sat down with @PeterHotez to discuss the state of vaccines in the US, and what the future holds for experts in infectious disease.
Watch the full conversation on WebsEdge Medicine YouTube, out https://t.co/7y0pRBI8YB |
10 |
| 2025-10-22 | idweek.bsky.social | Vaccines cause adults. #IDWeek2025 | 8 |
| 2025-10-22 | docwoc71.bsky.social | About last night: on the 3rd day of #IDWeek2025 we had a jam Pack nightly activities from #TID get together to the cultural dance party @idweek.bsky.social @idsainfo.bsky.social | 8 |
It’s BUG BOWL TIME! Thanks to docwoc71.bsky.social for highlighting it!
sairabt.bsky.social highlighted the #UTI IDSA (GRADE methodology: clinical cure critical based on pt feedback) vs wikiguidelines (clear recommendation vs clinical review)
see more
Contributed by Medscape on X. It’s possible to produce a generic version of lenacapavir, a twice-yearly antiretroviral injection that both prevents and treats HIV, for as little as $25 per patient per year!
Top 20 Bookmarked Posts
| date | username | text | bookmark_count |
|---|---|---|---|
| 2025-10-20 | boghuma.bsky.social | Easily my favorite session at #IDWEEK #IDSky | 3 |
| 2025-10-20 | boghuma.bsky.social | Afternoon delight. Challenging cases HIV and STI cases. First up a serological standoff RPR 1:4--> 1:8, patient with ocular and otic symptoms. Does not meet the 4 -fold increase threshold for new infection. So do you treat for syphilis now or not? #IDweek #IDSky | 3 |
| 2025-10-21 | michaelisonmd.bsky.social | Due to the US Government Shutdown, I will not be able to atted @IDWeek.bsky.social #IDWeek2025. I had worked on my 2 invited talks and so will share them.
My first talk was going to be about the epidemiology and clinical course of respiratory viral infections in the immunocompromised. |
3 |
| 2025-10-19 | idstewardship.bsky.social | 🤩 Great talks in the APP bootcamp session at #IDweek2025
Back to basics sure, but contextualized by high quality presenters = 🙌 |
3 |
| 2025-10-22 | WebsEdge_Med | "They're waging psychological warfare on our young scientists". At IDWeek 2025, we sat down with @PeterHotez to discuss the state of vaccines in the US, and what the future holds for experts in infectious disease.
Watch the full conversation on WebsEdge Medicine YouTube, out https://t.co/7y0pRBI8YB |
3 |
| 2025-10-19 | patrickching.bsky.social | IDWeek2025 Social Media Meetup @jonathanrydermd.bsky.social @josephmarcusid.medsky.social #IDWeek2025 #IDSky | 2 |
| 2025-10-19 | uwidfellowship.bsky.social | Prolonged applause for Dr Demetri Daskalakis, formerly of the CDC, winner of the HIV Medical Association Transformative Leader Award… #IDSky #IDWeek #IDStrong | 2 |
| 2025-10-22 | sairabt.bsky.social | #idweek2025 new in #UTI IDSA (GRADE methodology: clinical cure critical based on pt feedback) vs wikiguidelines (clear recommendation vs clinical review) 1/ | 2 |
| 2025-10-20 | idweek.bsky.social | Vaccination against herpes zoster, or shingles, is linked to lower risks of heart disease, dementia and death in people age 50 and older, according to new research presented at #IDWeek2025. https://bit.ly/471biNp | 2 |
| 2025-10-22 | joffirphd.bsky.social | This is good news.
“The New England Journal of Medicine and the Center for Infectious Disease Research and Policy will begin publishing “public health alerts” in the coming month, CIDRAP Director Michael Osterholm announced at the IDWeek conference on Sunday.” |
2 |
| 2025-10-19 | sairabt.bsky.social | #idweek2025 #idsky what’s hot in ID clinical science Dr Wright #BSI #BALANCEtrial | 2 |
| 2025-10-21 | patrickching.bsky.social | Big Beasts of #ClinicalMycology #IDWeek2025 @idweek.bsky.social #IDSky Rare mold infections | 2 |
| 2025-10-22 | Medscape | It’s possible to produce a generic version of lenacapavir, a twice-yearly antiretroviral injection that both prevents and treats HIV, for as little as $25 per patient per year, according to a study presented at the Infectious Disease Week (IDWeek) 2025 Annual Meeting in Atlanta. https://t.co/lUTq58OijU | 2 |
| 2025-10-20 | ABsteward | @AlastairMcA30 @BradSpellberg @DrToddLee The tyranny of experts! I love @BradSpellberg Ed commentary Opinion-Based Recommendations: Beware the Tyranny of Experts #IDWeek2025 https://t.co/k7rNeoKVN8 | 2 |
| 2025-10-20 | ABsteward | Any late-breaking abstracts or practice-changing RCTs being presented at #IDWeek2025 — thinking SNAP, MERINO, OVIVA, POET, CAMERA2 etc? Please tag presenters/teams if you know them #IDWeek2025 | 2 |
| 2025-10-19 | AnciraBecky | Shingles Vaccination Tied to Drops in Cardiovascular Events, Dementia, Death https://t.co/A6TdjI9k0i | 2 |
| 2025-10-20 | cidrap.bsky.social | C difficile deaths more common among Whites, people in large urban areas
White Americans accounted for 84% of the 216,311 C difficile-associated deaths reported from 1999 through 2023, researchers reported at IDWeek 2025. |
1 |
| 2025-10-19 | davidvanduin.bsky.social | Dr Tamma mentions the ongoing GOAT trial (PI Tamma & Cosgrove) This will be a most needed and important study. clinicaltrials.gov/study/NCT060... #IDweek2025 #IDsky | 1 |
| 2025-10-21 | jeremytigh.bsky.social | Increasing NDM across the U.S.😭 #IDWeek2025 | 1 |
| 2025-10-20 | uwidfellowship.bsky.social | New from IDSA, thanks to Dr William Werbel, resp virus vax in immunocompromised population:
|
1 |
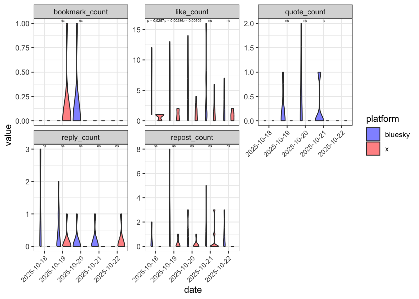
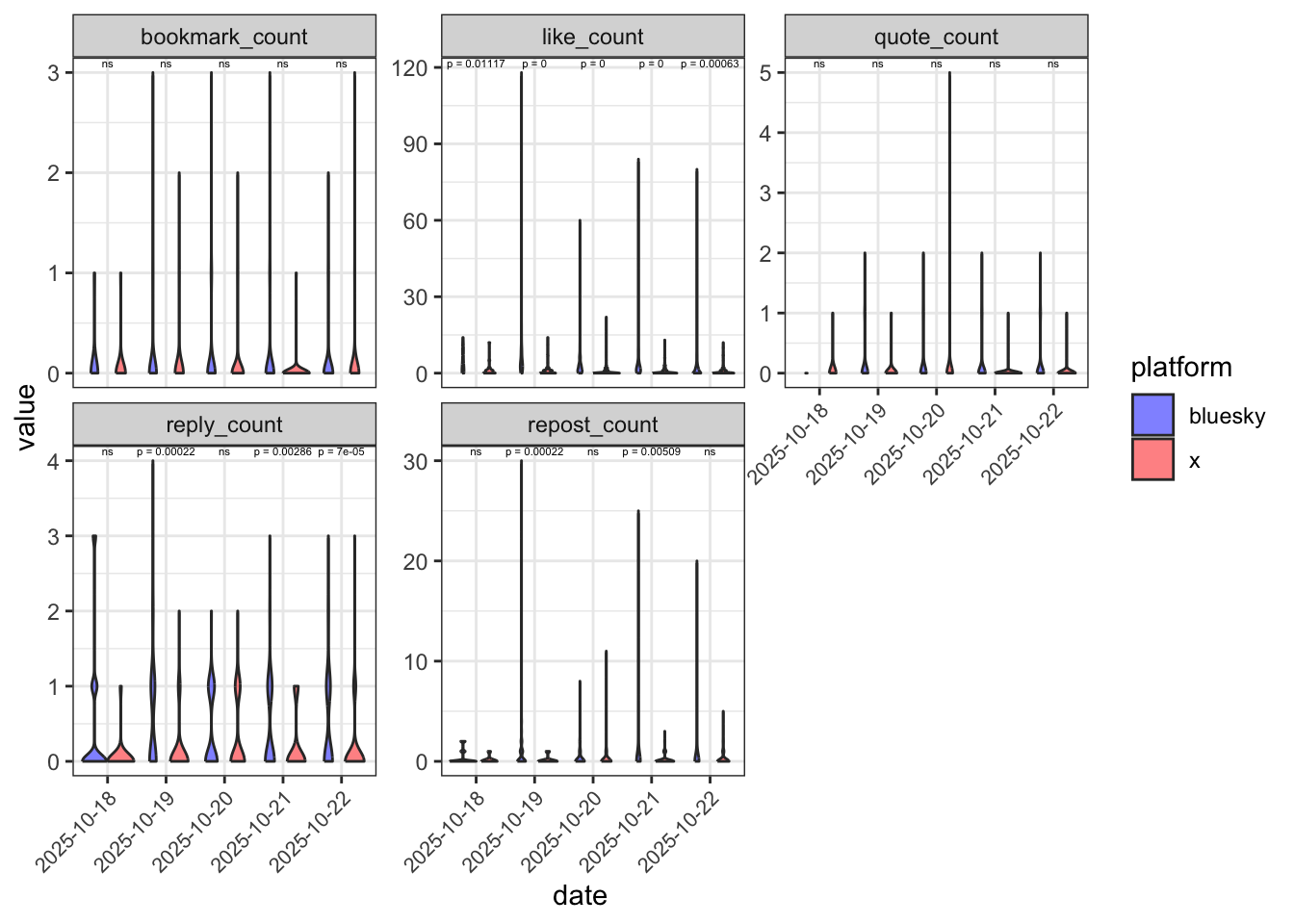
Bluesky vs X?
Wow, both platforms actually are quite comparable. Looking at the engagements (e.g., likes, bookmarks, quotes) it seems like Bluesky has higher engagements. Let’s take a deeper dive on the engagements.
We used negative binomial regression to compare social media (bluesky vs X) engagement metrics between platforms across five dates, applying Benjamini-Hochberg correction for multiple testing with alpha 0.05. Significant platform differences were found for like_count (all 5 days), reply_count (3 days), and repost_count (2 days) after FDR correction. Favoring more engagement in Bluesky compared to X. Very interesting!
| date_factor | metric | coef | pval_adj |
|---|---|---|---|
| 2025-10-18 | quote_count | 19.2115426 | 0.9988609 |
| 2025-10-18 | like_count | -1.2536129 | 0.0111716 |
| 2025-10-18 | reply_count | -2.2155737 | 0.1240385 |
| 2025-10-18 | repost_count | -1.0116009 | 0.2703430 |
| 2025-10-18 | bookmark_count | -0.6061358 | 0.9009762 |
| 2025-10-19 | quote_count | -1.2872035 | 0.2045081 |
| 2025-10-19 | like_count | -1.7996101 | 0.0000000 |
| 2025-10-19 | reply_count | -1.4764455 | 0.0002229 |
| 2025-10-19 | repost_count | -1.6381804 | 0.0002229 |
| 2025-10-19 | bookmark_count | -0.3709127 | 0.8569110 |
| 2025-10-20 | quote_count | -0.9022669 | 0.1240385 |
| 2025-10-20 | like_count | -1.4247822 | 0.0000000 |
| 2025-10-20 | reply_count | -0.2529024 | 0.2624342 |
| 2025-10-20 | repost_count | -0.4804749 | 0.2229932 |
| 2025-10-20 | bookmark_count | -0.6623755 | 0.2229932 |
| 2025-10-21 | quote_count | -2.4923102 | 0.0544660 |
| 2025-10-21 | like_count | -1.5109780 | 0.0000000 |
| 2025-10-21 | reply_count | -0.7904070 | 0.0028636 |
| 2025-10-21 | repost_count | -1.1225999 | 0.0050867 |
| 2025-10-21 | bookmark_count | -1.8732710 | 0.0579333 |
| 2025-10-22 | quote_count | -1.7408394 | 0.0685566 |
| 2025-10-22 | like_count | -0.8979284 | 0.0006327 |
| 2025-10-22 | reply_count | -1.2430010 | 0.0000656 |
| 2025-10-22 | repost_count | -0.6104784 | 0.2275125 |
| 2025-10-22 | bookmark_count | -0.2675336 | 0.9227407 |
All highlighted in green rows are significant after BH correction. You can see on the coefficient column, all are in the negative range, favoring Bluesky. How do we interpret this? Let’s pay a closer attention at like_count, since all of the dates appear to be different when platforms were compared, looking at official first day of ID week 10-19-25, we have coefficient of -1.7996101, which means Bluesky posts had 6 times higher count of likes compared to X posts. Using 1/exp(-1.7996101).
Now what about the repeated/duplicate posts? Some users do post on both platforms. How do we account for that? First time using Claude Code, with instructions, we detected duplicates between Bluesky and X by applying a multi-method text similarity algorithm (exact match, ≥45% Jaccard similarity, substring match, or ≥70% word overlap) to posts from users active on both platforms within a 3-hour time window, using normalized text with URLs, hashtags, and mentions removed. To validate accuracy, we performed 100 iterations of 10% stratified random sampling of cross-platform users, calculating precision, recall, F1 score, and overall accuracy by comparing algorithm-detected duplicates against ground truth determined by the same similarity criteria.
Our results showed there were ~1234 unique posts as compared to the total 1272 posts. Let’s remove these duplicates and see how many total posts from both platforms
Alright, it looks quite similar to previous! So the duplicate didn’t really make a whole lot of difference!
Let’s take a look whether there is a difference in engagement if we were to compare the SAME post in both platforms?
Wow, this is interesting. With only 38 same posts in both platform, we observed that the like counts on the first 3 days (10-18-25, 10-19-25, 10-20-25) with Bluesky has more likes than X, with the highest engagement at 11x higher like counts in Bluesky than X from 1/exp(-2.3978953). Diving into the raw data, looks like dralicehan.bsky.social and pascalisid.bsky.social’s post was the main one that contributed to the high engagement on Bluesky!

Acknowledgement
Thank you for those who have contributed! I learnt a lot from you guys! It’s these type of engagement that keep us all connected even for those who can’t attend the meeting! If you see your username above, thank you! If you don’t see it and have contributed, thank you! Sorry if I have left any usernames out. Please feel free to use the shiny app link above to look at all the posts queried to catch up, or just search on bluesky and X platform!
I especially want to thank Jonathan Ryder and Joseph Marcus for their feedback on tweet/post analysis! They’ve been really helpful in giving me feedback I can incorporate on this blog. Thank you!
Lessons Learnt
- Did not know that |> does not pass
.whereas %>% does see code - learnt about delayed RPR rise with DoxyPEP
- Watch for GOAT trial after July 2027
- Watch out for Welder’s anthrax
- Association of shingle vaccine & lower ASCVD
- and many more
- negative binomial & BH correction
If you like this article:
- please feel free to send me a comment or visit my other blogs
- please feel free to follow me on BlueSky, twitter, GitHub or Mastodon
- if you would like collaborate please feel free to contact me
- Posted on:
- October 26, 2025
- Length:
- 18 minute read, 3820 words